STANOVENÍ KRITICKÉ SÍLY VZEPJATÉHO NOSNÍKU

Doc. RNDr. Jiří MACUR, CSc., AIU FAST VUT v Brně, macur.j at fce.vutbr dot cz

Ing. Petr FRANTÍK, STM FAST VUT V Brně, kitnarf at centrum dot cz

 

Abstrakt

V případě dynamického nosníku lze kritickou sílu charakterizovat jako bifurkační hodnotu parametru systému, při níž dochází k superkritické vidličkové bifurkaci. Tuto hodnotu je obtížné nalézt jak v experimentálním případě, tak i pomocí simulačních modelů. V příspěvku je navržena extrapolační metoda pro zjištění kritické síly a je diskutována její stabilita pro zjednodušený model nosníku.

 

BIFURKACE DYNAMICKÉHO SYSTÉMU

Bifurkační teorie se zabývá kvalitativními změnami chování dynamického systému při variacích jednoho nebo více parametrů. V současnosti není zdaleka uzavřená, avšak některé její techniky lze úspěšně použít pro zkoumání dynamických stavů mechanických systémů a možných přechodů mezi nimi.

Pro stanovení kritické síly v roli parametru, při němž dochází ke spontánnímu narušení symetrie dynamického vzepjatého nosníku, lze využít například následující závěry:

Uvažujme homogenní, symetrický dynamický nosník se silnou disipací energie. Jeho rovnovážné chování je pak určeno pevnými body ve fázovém prostoru stavů systému nosníku. V případě hyperbolických pevných bodů (tj. takových, kdy všechny vlastní hodnoty linearizační matice systému mají nenulovou reálnou složku) je tok systému izomorfní se svou linearizovanou variantou, což zaručuje, že malé změny parametrů nemohou vyvolat kvalitativní změny toku a tedy i dynamického chování systému, viz [1]. Tento teorém je stěžejním bodem bifurkační teorie – zabývá se hledáním takových hodnot parametrů systému, při nichž vymizí některá reálná složka spektra vlastních hodnot linearizační matice systému a vyšetřováním chování systému v jejich okolí.

Obecný přístup se opírá o teorém o existenci centrální variety, avšak v našem případě se pro lepší ilustraci omezíme na jednoduchý, silně specializovaný případ.

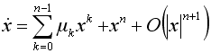
Uvažujme jednorozměrný, jednoparametrický dynamický systém s parametrem , jehož stav x vyhovuje rovnici:

(1)

Bez újmy na obecnosti předpokládejme dále, že pro hodnotu parametru =0 v počátku fázového prostoru x=0 leží bifurkační bod, tj. podle výše uvedeného teorému platí:

(2)

V okolí bifurkačního bodu rozvineme definiční funkci systému do Taylorovy řady:

(3)

kde pro uvedené koeficienty platí

(4)

Příslušné parciální derivace funkce jsou přitom uvažovány v bifurkačním bodě (x,)=(0,0).

Po dosazení z (2) dostáváme algebraickou rovnici

(5)

jejíž řešení v okolí bodu (x,)=(0,0) určuje chování systému. Počet řešení a jejich stabilita přitom závisí obvykle na znaménku uvažovaných parciálních derivací, resp. na jejich vymizení v okolí bifurkačního bodu.

 

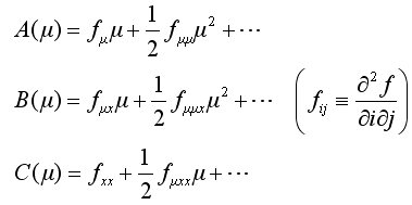
VIDLIČKOVÁ BIFURKACE

Vidličková bifurkace je typická pro stabilní nelineární systémy s prostorovou symetrií, tj. v našem případě invariantní vůči transformaci x x. Nutnou podmínkou pro bifurkační bod tohoto typu je vymizení parciálních derivací a (společně s a , což jsou vlastnosti každého bifurkačního bodu).

Nejjednodušší funkci splňující uvedené podmínky definuje systém

(6)

Linearizační koeficient (Jacobián soustavy) = – 3x2. V počátku x=0 leží vždy pevný bod a k bifurkaci dochází při hodnotě parametru = 0, přičemž pro <0 je pevný bod stabilní, pro >0 nestabilní. Pro tyto hodnoty parametru však podle (6) existují další dva stabilní pevné body

(7)

Závislost pevných bodů je zachycena na následujícím obrázku, z něhož je patrný rovněž název vidličková bifurkace.


Obr. 1: Vidličková superkritická bifurkace

Pro složitější dynamické systémy uvedených vlastností existuje více variant stability pevných bodů v uvedených oblastech, my se však zaměříme pouze na tento (tzv. superkritický) typ průběhu, který odpovídá chování vzepjatého nosníku.

Bifurkační teorie poskytuje nástroje pro analytické zkoumání bifurkačního diagramu – závislosti pevných bodů na hodnotách parametru x() – založené na různých druzích rozvoje (nejčastěji polynomiálního), nás však zajímá spíše vliv poruchy na tvar bifurkačního diagramu.

 

VLIV IMPERFEKCE NA BIFURKAČNÍ DIAGRAM

Reálný vzepjatý nosník vykazuje vždy určité počáteční narušení symetrie, které můžeme parametrizovat v uvedeném jednoduchém modelu např. takto:

(8)

kde je malá imperfekce.

Pro pevné body nyní platí

(9)

což schematicky vyjadřuje obr. 2.

Obr. 2: Vliv imperfekce na vidličkovou bifurkaci

V reálném experimentu je tedy změna polohy pevného bodu nosníku hladká a přítomnost bifurkace je indikována pouze dynamikou její polohy.

Uvedenou změnu bifurkačního diagramu v případě malé poruchy však lze chápat obecněji:

Uvažujme jednorozměrný dynamický systém s nehyperbolickým pevným bodem v počátku:

(10)

Systém lze považovat za degenerovaný případ obecnějšího systému:

(11)

Je-li = 0, bude v počátku ležet pevný bod, pro = 0 bude navíc nehyperbolický. Induktivně lze tedy předpokládat, že analýza obecného systému v okolí nulové hodnoty parametrů umožní pochopení možných bifurkací systému v konkrétních degenerovaných případech. Úloha se tedy změní na vyšetřování sice k–parametrického, avšak hyperbolického systému.

Například pro nejjednodušší systém n = 2

(12)

existují dva pevné body při hodnotách parametrů 2 > 4 , přičemž pro 2 = 4 dochází k jejich vytvoření resp. zániku (bifurkace typu sedlo–uzel). Jediný možný typ bifurkace naznačuje, že existuje transformace, která sníží původní počet dvou parametrů na jeden.

Skutečně pro

(13)

dostaneme dynamický systém v jednoparametrickém tvaru

(14)

Tvar vztahu (13) lze považovat za minimální způsob sejmutí degenerace původního nehyperbolického systému

(15)

Jediný parametr zde zachycuje všechny varianty chování v okolí degenerovaného systému.

Podobně lze ukázat, že pro degenerovaný kubický systém představuje minimální sejmutí degenerace systém, který jsme uvedli při zavedení malé imperfekce k vidličkové bifurkaci

(16)

Pro hodnoty parametrů uvnitř oblasti existují tři pevné body, pro hodnoty parametrů vně oblasti pak existuje pouze jeden pevný bod.

Poznámka: Oba uvedené příklady degenerovaných systémů představují nejjednodušší případy singularit v teorii
katastrof – singularitu typu záhyb a hrot. Teorii bifurkací lze považovat za zobecnění teorie katastrof.

 

BIFURKAČNÍ HODNOTA PARAMETRU SYSTÉMU S IMPERFEKCÍ

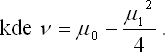
V předcházejícím odstavci bylo konstatováno, že u imperfektovaného systému je stanovení polohy bifurkačního bodu problematické. V případě kubického systému lze však využít následující vlastnosti inflexního bodu závislosti (9):

(17)

Hodnota parametru v inflexním bodě závislosti xc je pak:

(18)

Vidíme, že poloha inflexního bodu je nezávislá na hodnotě imperfekce a bifurkační hodnotu parametru lze v případě imperfektovaného systému ztotožnit s inflexním bodem spojité závislosti x().

Z obr. 2 je dále zřejmé, že i pro složitější systémy vykazující vidličkovou bifurkaci lze oprávněně předpokládat, že platí:

(19)

kde je hodnota parametru v uvedeném inflexním bodě imperfektovaného systému.

Navíc lze předpokládat, že závislost () bude téměř konstantní nebo alespoň monotónní a bifurkační hodnotu parametru bude tedy možné dobře extrapolovat podle závislosti (19).

Je tedy zřejmé, že i poměrně jednoduché kvalitativní úvahy vycházející z teorie bifurkací mohou přinést velmi konkrétní výsledky, které lze snadno ověřit. Bifurkační hodnota parametru koresponduje s hledanou kritickou silou vzepjatého nosníku, stavová proměnná odpovídá vyjádření deformace.

 

JEDNODUCHÝ MODEL VZEPJATÉHO NOSNÍKU

Na jednoduchém modelu vzpěru prutu se pokusíme vyjádřit závislost polohy inflexního bodu funkce vzepětí prutu na velikosti imperfekce, vyšetříme okolí bifurkačního bodu a ukážeme platnost vztahu (19).

Mějme jednostranně vetknutý štíhlý prut zatížený ve vzpěru. Nahraďme jej absolutně tuhým segmentem, připojeným k vetknutí kloubem s rotační pružinou, viz obr. 3.

Obr. 3: Vzepjatý vetknutý nosník a jeho model

 

Pohybové rovnice

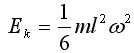
Odvození pohybových rovnic modelu provedeme Lagrangeovou metodou, viz [2]. Lze snadno odvodit, že pro kinetickou energii systému Ek platí:

(20)

kde m je hmotnost tuhého dílce, l je délka dílce a je úhlová rychlost dílce pro kterou platí:

(21)

kde je pootočení dílce, viz obr. 3.

Předpokládejme, že se materiál vzepjatého nosníku chová lineárně pružně při dosahovaných přetvořeních, tj. prut je dostatečně štíhlý. Za tohoto předpokladu lze uvažovat lineární funkci napjatosti rotační pružiny v modelu (obr. 3) popsanou vztahem:

(22)

kde M je moment, jímž pružina působí na tuhý dílec, k je tuhost pružiny a je úhlová imperfekce prutu – pootočení reprezentující např. malé zakřivení prutu. Pro potenciální energii systému Ep tak můžeme psát:

(23)

kde F je zatěžující síla – řídící parametr systému.

Dosazením Lagrangiánu L = Ek - Ep do vztahu:

(24)

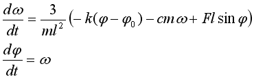
dostáváme pohybovou rovnici druhého řádu (viz vztah (21)):

(25)

Abychom vystihli disipaci energie, ke které dochází u reálného systému, přidáme lineární disipační člen:

(26)

kde c je parametr tlumení.

Tuto diferenciální rovnici upravíme a rozepíšeme na soustavu dvou diferenciálních rovnic prvního řádu v kanonickém tvaru, který vyhovuje vztahu (1):

(27)

Pro numerické řešení pohybových rovnic modelu postačuje vzhledem k přítomnosti disipace energie standardní explicitní Runge-Kuttova metoda.

 

Bifurkace stavu

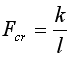
Pro nalezení bifurkačního bodu můžeme užít postupu popsaného v úvodu tohoto příspěvku. Aplikací vztahu (1) na pohybové rovnice (27) dostáváme:

(28)

Dle vztahu (2) pak pro bifurkační bod systému modelujícího ideální prut (imperfekce =0) musí platit (bez požadavku na polohu bifurkace):

(29)

jehož aplikací dostáváme hodnotu řídícího parametru zatěžující síly F – kritickou sílu Fcr při které dochází k bifurkaci (náhlé vybočení tuhého dílce):

(30)

Vývoj statického stavu odvozeného modelu v okolí bifurkačního bodu je ilustrován pro ideální a imperfektovaný prut (hodnota imperfekce =0.1 rad) na obr. 4.

Obr. 4: Graf vývoje statických stavů pro ideální a imperfektovaný systém

 

Inflexní bod

Pomocí odvozeného modelu můžeme numericky vyřešit závislost polohy inflexního bodu funkce pootočení dílce na velikosti imperfekce vzhledem k bifurkačnímu bodu, viz obr. 5.

Obr. 5: Graf závislosti polohy inflexního bodu Fin na imperfekci

 

ZÁVĚR

V experimentech se setkáváme pouze s imperfektovanými strukturami. Pomocí výše uvedené metody je možné stanovit hodnotu kritické síly z přímého měření závislosti deformace na působící síle, přičemž chyba způsobená narušením symetrie není výrazná. V uvedeném modelu se pohybuje v rozmezí jednotek procent v poměrně velkém rozsahu imperfekcí. Navíc lze její hodnotu upřesnit vhodnou extrapolační metodou.

 

Poděkování

Tento příspěvek byl vytvořen v rámci výzkumného záměru MSM 261100009 a s podporou grantu GA ČR 103/03/1350.

 

Literatura

[1] ARNOLD V. I., AFRAJMOVICH V. S., IL`YASHENKO YU. S., SHILNIKOV L. P., Bifurcation Theory and Catastrophe Theory, Springer-Verlag, New York, 1999

[2] LEECH J. W., Klasická mechanika, SNTL - nakladatelství technické literatury (orig. Butler & Tanner Ltd., Frome, 1958), Praha


1Petr Frantík, Ing., Vysoké učení technické v Brně, Fakulta stavební, Ústav stavební mechaniky, Veveří 331/95, 602 00 Brno, e-mail: kitnarf at centrum dot cz